반응형
DFS
DFS는 Depth-First Search
깊이 우선 탐색이라고 한다.

DFS는 왼쪽에 해당하는 이미지로
먼저 갈수있는 최대한으로 읽고 그다음 옆의 노드를 읽는 것이다.
위의 경우
A B D E F C G H I J
순이 된다.
DFS에서는 표현 하는 방식이 두 가지가 있다.
- 인접 행렬(Adjacency Matrix): 2차원 배열로 그래프의 연결 관계를 표현하는 방식
- 인접 리스트(Adjacency List): 리스트로 그래프의 연결 관계를 표현하는 방식

위는 인접 행렬의 예시이다.
각 노드를 축에놓고 노드 간의 거리를 표에 값으로 표시한다.
이를 코드로 구현하면
# 5-6 DFS,BFS DFS
INF = 999999999
graph = [
[0, 7, 5],
[7, 0, INF],
[5, INF, 0]
]
print(graph)
이와 같다.

위는 인접 리스트의 이미지이고
이를 코드로 구현하면
graph2 = [[] for _ in range(3)]
# 노드 0에 연결된 노드 정보 저장(노드, 거리)
graph2[0].append((1, 7))
graph2[0].append((2,5))
# 노드 1에 연결된 노드 정보 저장(노드, 거리)
graph2[1].append((0, 7))
# 노드 2에 연결된 노드 정보 저장(노드, 거리)
graph2[2].append((0, 5))
print(graph2)
위와 같다.
위 두 방식의 차이점은
행렬 방식은 불필요한 데이터도 저장을 해야 한다.
예를 들어 노드가 몇 백개가 있다면 그걸 다 2차원 배열로 표기할 것인가? 불가능하다.
하지만 리스트 방식을 이용한다면 엣지가 있는, 즉 노드 간에 연결이 된 부분만 표기를 해주면 되기 때문에 불필요한 데이터의 저장을 막을 수 있다.
하지만 리스트의 경우 하나하나 확인해야 하기 때문에 속도가 느리다.
저장공간 활용 - 행렬 < 리스트
속도 - 행렬 > 리스트
예를 들어서 노드 1과 노드 7이 연결되어 있을 때 행렬은 graph[1][7]을 확인하면 되지만
리스트는 앞에서부터 차례대로 읽어서 1과 7을 찾을 때까지 읽어야 한다.
DFS의 처리과정은 스택을 이용하는데 동작 과정은 다음과 같다.
- 탐색 시작 노드를 스택에 삽입하고 방문 처리를 한다.
- 스택의 최상단 노드에 방문하지 않은 인접 노드가 있으면 그 인접 노드를 스택에 넣고 방문 처리를 한다. 방문하지 않은 인접 노드가 없으면 스택에서 최상단 노드를 꺼낸다.
- 2번의 과정을 더 이상 수행할 수 없을 때까지 반복한다.

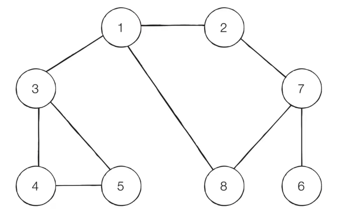
노드 1을 시작으로 설정하여 인접한 노드 중에 방문하지 않은 노드가 여러 개 일 때 낮은 순서부터 방문하면
1 → 2 → 7 → 6 → 8 → 3 → 4 → 5
순서로 순회하게 된다.
# 5-8 DFS,BFS DFS 예제
def dfs(graph, v, visited):
# 현재 노드를 방문 처리
visited[v] = True
print(v, end=' ')
# 현재 노드와 연결된 다른 노드를 재귀적으로 방문
for i in graph[v]:
if not visited[i]:
dfs(graph, i, visited)
graph = [
[],
[2, 3, 8],
[1, 7],
[1, 4, 5],
[3, 5],
[3, 4],
[7],
[2, 6, 8],
[1, 7]
]
visited = [False] * 9
dfs(graph, 1, visited)
반응형
'Algorithm > 이것이 코딩테스트다' 카테고리의 다른 글
| [Python][이코테] 음료수 얼려 먹기 (0) | 2022.08.02 |
|---|---|
| [Python][이코테] BFS (0) | 2022.08.02 |
| [Python][이코테] 재귀함수/팩토리얼재귀 (0) | 2022.07.20 |
| [Python][이코테] 스택 & 큐 (0) | 2022.07.20 |
| [Python][이코테] 게임 개발 (0) | 2022.07.18 |
댓글